| 网站首页 | 电源技术 | 电源资料 | 电源论坛 | 电源电路 | 电源人才 | 电源供求 | 留言本站 | 繁體中文 | 
[ ] 文章搜索:
您现在的位置: 电源开发网 >> 电源技术 >> 线路仿真 >> Saber仿真 >> 正文
采用双环控制的四桥臂三相逆变器
http://www.dykf.com  2009-2-21  电源开发网           ★★★

Abstract:  The structure of three-phase inverter with four bridge legs is introduced in this paper, a kind of two-loop control method is proposed, The simulation results are presented.

Keyword:Three-phase Inverters Two-loop control

1 引言

  三相逆变器一般是采用三个桥臂组成的拓扑结构,为了给不对称负载供电,必须在输出端加入一个中点形成变压器(Neutral Formed Transformer, NFT),如图1 所示。中点形成变压器是变比为1的自耦变压器,工作频率为输出交流电的频率,体积和重量很大,而且体积和重量随着负载不对称的程度变化而变化,不对称度越大,NFT的体积重量也越大。


图1 带NFT的三相逆变器
  

  为了省去中点形成变压器,减小逆变器的体积和重量,可以在图1所示的逆变器的基础上加入一个桥臂,将三相输出的公共点(即中点)通过电感Ln接在该桥臂中间,从而构成四桥臂三相逆变器,如图2 所示。

图2 四桥臂三相逆变器


2 逆变器的工作原理

  从图2可以看出,在逆变器带对称负载时,电感Ln上的电流为零,开关管VT7、VT8无须需动作,这时每相桥臂根据本相的需要选择开关状态,比如A相电流偏小,则VT1导通,VT2关断;在逆变器带不对称负载时,电感Ln上流过电流,大小为三相电感电流之和的反相,这时每相桥臂仍根据本相的需要选择开关状态,而第四桥臂的开关状态由电感Ln上流过的电流与其给定值比较而得。Ln上流过的电流是三相电感电流之和的反相, 其给定值是三相电感电流给定值之和的反相。图三为控制原理图。

图3 控制原理图

  
  本电路采用定频调节,由同步脉冲CP信号给出每个周期所需的导通信息。每个桥臂的上下管为互补导通,中间有一定的死区。对于A、B、C三相,每相独立地控制自己的桥臂,以A相为例,采用双环调节,外环为电压环,内环为电流环,电压给定VrA是50Hz正弦波,它与输出反馈电压VoA经运放后,得到电流给定irA,电流给定irA与电感电流iLA比较后得到桥臂开通信息,比如irA大于iLA ,则上管导通,此开通信息在同步脉冲到来时发出并控制逆变桥。

  第四个桥臂中的开关状态的决定方法与前三个桥臂类似,只是没有用电压外环。

3 中点电感的选择                           

  当三相电流不对称时,中点电感Ln上将流过电流,电感量的大小由几个方面的因素决定,并与相电感结合起来考虑。

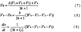
  首先,Ln对每相电流都有平衡效果,当负载不平衡度在限定范围内时,如电感上的电流小于每相电流的一半,Ln尽量大一点有利于整体滤波效果;其次,Ln及每相电感对电流跟踪速度有很大影响,为了得到良好的动态性能,Ln不能太大;最后,还要从Ln及每相滤波器的体积重量及损耗的角度考虑。设四个电感前端的电压分别为V1、V2、V3、V4,电流分别为i1、i2、i3、i4,中点电压为Vn ,设三相电感大小为L , Ln = k L 。

  因为


  而且


  得


  只要四个桥臂不是同时导通四个上管或下管,则
,K取值较小会使
很大,即第四桥臂电流纹波很大;当K取值较大,第四桥臂电流纹波很小,这时三相电流纹波主要由相电感L的大小决定。

  仿真表明,Ln的大小为相电感L的一半时,能兼顾到体积重量、滤波效果和动态性能。

4 仿真结果

  本电路用Saber软件进行仿真,仿真电路中的参数为:直流输入电压300V, 输出相电压115V,输出频率400Hz,开关频率200kHz,三相滤波电感0.4mH, 滤波电容10uF, 电流波形中1伏代表10安的电流。

  图4为三相负载对称时三相电压和电流波形, 第四桥臂电感Ln=0.2mH, 每相负载都是10欧的电阻。 图5为三相负载对称时三相电压和电流波形, 第四桥臂电感Ln=1mH, 每相负载都是10欧的电阻。 图6为三相负载对称,每相负载都是10欧的电阻,Ln分别为0.2mH和1mH时, Ln上的电流及C相的电流,由图可见,Ln=0.2mH时 Ln上的电流纹波较大,Ln=1mH时 Ln上的电流纹波较小,但C相的电流纹波在两种情况下相差不大。 图7为三相负载不对称时三相电压和电流波形, 第四桥臂电感Ln=0.2mH, 三相负载分别是20欧的电阻、10欧的电阻、10欧的电阻。 图8为三相负载不对称时三相电压和电流波形, 第四桥臂电感Ln=0.2mH, 三相负载分别是20欧的电阻并10uF的电容、10欧的电阻、10欧的电阻串2mH的电感。


  从图中可以看到,Ln的大小对自身的电流纹波影响大,当Ln取值较大,第四桥臂电流纹波很小,这时三相电流纹波主要由相电感L的大小决定;无论什么性质的负载,输出均能得到三相对称的输出电压,而且具备了良好的起动性能。

5 结论

(1) 四桥臂三相逆变器省去了三相逆变器中必须的中点形成变压器,大大减小了电源的体积重量。

(2) 第四桥臂电感的电流给定为三相电感电流给定值之和的反相,第四桥臂开关管的控制简单,实现了三相电压的解耦控制。

(3) 中点电感Ln的大小为相电感的一半时,能兼顾到体积重量、滤波效果和动态性能。

(4) 整个逆变器具有良好的起动性能。


参考文献

1 阮新波. 四桥臂三相逆变器的控制策略 电工技术学报, 2000,15(1)

2 Thomas M.Jahns ,Rik W.A.AADe Doncker , “System Design Considerations for a High-Power Aerospace Resonant Link Converter ”in IEEE Trans. Power Electronics,VOL8.NO4.OCTOBER 1993
来源:《电源世界》  作者:杨宏 阮新…  点击:  录入:admin
收藏此页】【字体: 】【打印此文】【关闭窗口
※相关链接※
网友评论:(只显示最新10条。评论内容只代表网友观点,与本站立场无关!) 发表评论
专 题 栏 目
推 荐 图 书
热 门 文 章
热 门 下 载
热 门 电 路
论 坛 推 荐
精 彩 广 告

关于本站 - 广告服务 - 联系我们 - 版权申明 - 网站地图 - RSS订阅 - 友情链接 - -
Copyright@2004-2014 ◆电源开发网◆ All Rights Reserved