0 引言
开关稳压电源的优点及其拥有的广泛用途是众所周知的,具性能直接影响着用电仪器、装置及系统的运行性能及安全性。大功率开关电源的应用特点是其输出端并接的负载数量多。对开关电源而言,各负载的投运、撤运具有一定的“随机性”,即负载扰动范围大,而这种扰动直接引起系统参数的摄动使输出电压值动态变化大、恢复时间长,不仅影响稳压性能,严重时将危及通信设备的正常运行,尤其在轻载时将产生稳定性问题。目前,针对上述问题的开关电源设计中含有较强的实验整定性,但对负载频繁扰动的影响尚无系统化的解决方案。本文主要针对上述问题展开研究,期望提出一种易于实施的工程设计方法,以简化、缩短开关电源的设计及调试过程,并使之具有良好的动、静态性能,以提高局端通信设备的可靠性。
1 局用通信系统中的开关电源特性分析
有许多局用通信系统采用插卡式结构,通常可插入多种功能板卡和开关电源板卡。例如,某光传输设备中,采用两块开关电源板卡(冗余备份),供电电压为DC48V,电源板卡的输出为DC5V,额定输出功率150W;另外可插最多13块不同功能的用户板(或称之为负荷模块),各功能板负荷的功率范围为2~10W。该系统的供电框图如图1所示。

图1中的K1~Kn,合上与否表示相应负荷模块的投运情况。在实际运行中,当负荷很轻时(即只插1~2块用户板时)或负荷模块投运、撤运(新的用户板投运或因某种原因需要拔出用户板)时,DC/DC开关电源的输出Uo易产生衰减式振荡,有些开关电源在负荷很轻(<额定功率的10%)时还会产生不稳定振荡,进而使得相关挂接的通信模块产生误码甚至瘫痪。
为揭示产生上述问题的内在因素,可将图1供电系统中的开关电源与负荷视为一个整体电路,其基本结构如图2所示。为了便于说明问题,不妨将图1中各模块消耗功率的情况用电阻RL1~RLn来表征。图中的L、C分别为输出滤波级的电感器与电容器,而r为电容器内部的等效串联电阻ESR。从图2可直观地看到图1中各负荷模块与开关电源的内在关系。

1)各负荷电阻RL1~RLn是电源输出级电路元件参数的有机组成部分,在R、L、C暂态电路中,R兼有阻尼作用。因此而知,开关电源的动态特性与负荷轻重密切相关。
2)在开关电源的动态特性满足要求时,由于负荷变化(Io变化)所产生的开关电源内部的隔离变压器及输出级电路压降变化而引起的输出电路Uo变化,则可由无静差反馈调节策略来保证稳压精度。
3)开关电源输出电压中所含的纹波成分是开关电源的另一个固有缺点。削弱其份量的主要措施是在一定的功率规格下,L、C与调制频率f的合理选择,尤其是要选ESR极小的电容器。
2 通信系统中开关电源的抗负荷扰动设计
2.1 开关电源抗负荷扰动的本质问题
在研究动态特性时,先忽略图2中r的影响(一般有
),此时其对应的数学模型框图如图3所示。

由式(3)可知
1)开关电源对象主导模型为二阶振荡环节,对于特定的常规开关电源产品而言,L、C是一定的,则负荷变化时(Io化,即RL变化),必引起&o的大范围变化。也就是说负荷扰动的本质是引起系统对象参数的大范围摄动。
2)负荷越轻,即Io越小、RL越大,&o就越小、系统的稳定性越差,在本文的仿真实例中,当负荷在2%~100%范围变化时,则&o∈[0.005,O.245],其随负荷的变化量高达49倍,这也是一般开关电源轻载性能差的原因所在。
3)对于特定的开关电源产品,其内部的调节器规律一般均为固定参数的P1调节律,而开关电源的负荷又往往大范围变化,即系统对象参数大范围变化,而固定参数的常规PI调节律难以适应负荷大范围变化场合的动态性能要求。
2.2 强抗扰电源的动态校正方法及实现
为克服常规Pl调节律存在的上述缺点,可采取如图4所示的、成本低且易于实施的“PI+D先行”的调节律,以提高稳压系统的鲁棒性。图4中的To为高频滤波的时间常数;Kv、Ti、Td分别为调节器的比例系数、积分吋间常数和微分时间常数;Ks、Ts分别为PWM驱动环节的比例系数与时间常数;主电路模型环节中的各参数与图2对应。

在图4中,Ts、rC、To均为小时间常数,在先不计To的影响,并适当调整有关参数,使Ts≈rC(4)
则

由式(6)可知,当适量选择微分时间常数Td,可使轻载时由&o′起主导作用,使调节器外的“对象环节”仍有足够的阻尼比,并使满载时(RL→RLmin),&o′在&中仍占相当分量,即使负荷大范围变化时,&的变化范围仍不大(在本文的仿真实例中,ξo′=0.531,所以ξ∈[0.536,0.776],其随2%~100%负荷率的大范围变化而引起的ξ变化仅为1.45倍),以提高系统的鲁棒性,解决轻载稳定性与满载快速性问题。建议Td的选择原则为:在最轻载时(RL→RLmin),满足ξmin≥0.5。即

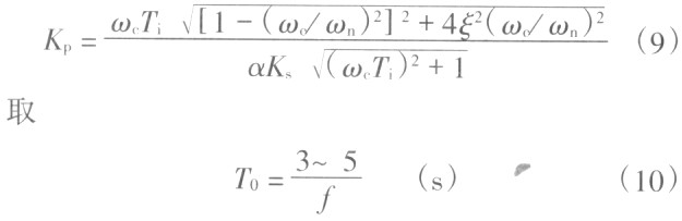
Kn、T1的整定原则为:使“对象环节”在最大滞后相角条件下的系统相角裕量γ不小于60°。由于滤波时间常数To很小,故在参数估算中可先不计及,得

式中的f为开关电源的调制频率(Hz),式(9)中的剪切频率ωc的汁算如下,由式(5)及图4(不计To)得系统相角裕量γ的汁算公式为

由式(13)可求得(ωc/ωn),并进而求得KP。
图4所示的开关电源中的调节器可用简单的运放电路来实现,如图5所示(图5中的Uref*与Uf的极性相反)。当R1》RP1+R2时,电路元件参数与调节器参数的对应关系为

2.3一个实例的仿真研究
某开关电源输出电压为+5V,额定功率为150W,实际负荷率范围为5%~100%,已知L=47μH,C=6800μF/10V,r=6mΩ,f=25kHz,
对图4所示强鲁棒型系统的调节器参数,经计算得T4=0.6ms,Ti=0.9ms,KP=0.8。
对图3所示常规PI调节型系统的调节器参数,经计算得Ti=2ms,KP=O.1。
图3及图4两种方案分别在负荷率为10%、100%和2%、100%时的仿真结果(已考虑实际的限幅特性)分别如图6及图7所示。
图6及图7两种方案的仿真结果表明,常规PI调节方案的开关电源动态过渡过程时间长,轻载稳定性差,在本例中,当负荷为10%时,常规PI调节方案的廾关电源已处于临界稳定状态,这也是目前普通开关电源产品一般要求负载率为10%以上的原因所在(或已在电源内部加了小负载,即并接了电阻);强鲁棒方案的开关电源过渡过程时间短,比常规方案的动态时间缩短了近一个数量
级,且当负荷小至2%以下时,仍有良好的动态特性,同时也间接提高了开关电源的效率。

3 结语
为克服通信设备巾开关电源的负荷大范围扰动引起的电源性能恶化与轻载稳定性的问题,本文提出的方法具有实现简单、成本低、效果明显、可靠性高的特点,局用通信系统采用该方法设计的廾关电源后,消除了电源引起的误码与故障。而且,该方法也可容易地推广应用到通用型的各种直流开关电源的产品设计中。