Three-phase Series-parallel Compensation UPS with Function of Unsymmetrical Current Compensation
Abstract:The operating principle and control method of the three-phase UPS are described. The proposed control strategies can make the UPS realize all of the control goals i.e. sinusoidal input current with cosФ = 1 and sinusoidal output voltage with normal value in the case of non-sinusoidal, non-normal supply voltage and non-lineal load with reactive power, and have function of unsymmetrical current compensation.
Key words:three-phase; serles-parallel; compensation; UPS
O 引言
串并联补偿式UPS,是1994年由丹麦科尔丁硅能电子公司的奥维·里克·托姆等3人发明的,1998年被美国APC司收购,并将原发明中的AC调节器改进成Delta逆变器后投入市场,故也称作Delta变换式UPS。根据国际标准IEC62040.3,这种UPS属于在线互动式UPS。
三相串并联补偿式UPS与传统UPS相比具有如下优点:
1)能够同时对输入与输出端的电能参数进行双在线监测补偿,在满足市电输入功率因数等于1的要求同时,也满足了负载电压为稳定纯净的三相对称正弦波电压的要求;
2)可以使电能质量得到全面提高;
3)由于将全功率变换改成了增量补偿式变换,使uPs的设备容量仅为额定负载容量的20%,故提高了过载能力,减少了损耗;
4)阻断了市电与负载之间的谐波相互干扰;
5)由于是与市电电源同步运行,扩容容易。
但这种UPS也有缺点,如对无功与谐波电流补偿的效率低,效率受负载变化的影响大,不能对不对称负载电流进行补偿等,这些缺点都是由它的控制方式造成的。为了能使这种UPS具有不对称负载电流补偿功能,本文介绍的UPS控制电路中采用了特殊的方法。这里所说的不对称负载电流补偿功能,就是将三相负载的不对称电流,变换成市电输入的三相对称电流之义。这项功能具有重要的使用价值。
1 电路组成与各部分的功能及控制方式
具有不对称负载补偿功能的三相串并联补偿式UPS的原理电路如图1所示,它是由两个直流侧带中性点的,可以双向四象限工作的三相PWM半桥式逆变器,以串并联补偿式电路构成的,其各部分的功能如下。
Delta逆变器 容量取决于市电电压波动范围和负载功率因数,大约只有USP标称容量的20%。在输入端通过其输出变压器Tra、Trb、Trc、的次级与负载串联,工作在正弦波电流源状态。其主要功能是消除市电输入电流中的无功与谐波分量,使市电输入功率因数等于1;对市电电压的波动、三相不对称度进行补偿;将三相负载的不对称电流、变换成市电输入的三相对称电流;控制UPS输入与输出功率的平衡和向蓄电池充电;靠电流源的无限大内阻来阻止市电与负载之间的谐波相互干扰。
主逆变器 容量等于UPS标称容量,在输出端通过其输出滤波电感LF2与负载并联,工作在正弦波电压源状态。其主要功能是控制负载上的电压成为三相稳定的正弦波电压;靠电压源无限小内阻向负载提供无功电流、谐波电流和不对称电流;当市电掉电时向负载提供100%的功率;控制UPS输入与输出功率平衡和向蓄电池充电。

三相基准正弦电压这是一个与市电同步锁相的交流标准电压发生器,其电路如图2和图3所示,电压稳定度优于0.02%,波形失真小于O.5%,三相电压的对称度为120。±0 5°,主要用来作为三相UPS的同步坐标基准,和控制电路的数值与波形的标准电压电流信号。


低通滤波器低通滤波器LF1、CF1主要用来滤除市电电压和Delta逆变器输出电压和电流中的谐波;低通滤波器LF2、CFz主要用来滤除主逆变器输出电流中的高次谐波;同时LF1和LF2也是市电与主逆变器并联工作时的平衡电感,LF2又是主逆变器整流工作时的升压储能电感。

电流指令值运算电路和电压指令值运算电路主要用来运算出Delta逆变器的电流指令值信号iac、ibc、icc,和主逆变器的电压指令值信号uac、ubc、ucc、。
PWM电路 DelLa逆变器和主逆变器的PWM控制电路,采用的是如图4所示的三角波比较控制方式,其特点是将指令值与补偿量的偏差经过放大后再与三角波进行比较,其目的是把偏差控制到最小,是属于跟踪型PWM控制方式。
2 Delta逆变器的电流指令值运算电路
Delta逆变器是一一个用IGBT作开关的三相半桥式PWM逆变器,可以双向四象限工作,其开关频率为5~20kHz,对它的控制策略就是将其控制成正弦波电流源,以完成前面提到的功能。它的电流指令值运算电路的原理框图如图5所示。当负载中含有电阻、电感与非线性负载时,市电输入电流将包含有功、无功和谐波电流。例如对于A相输入电流,其傅里叶级数表示式为

式中:注脚l代表基波,n代表谐波次数,φ1为基波电流滞后于电压的相位角。

如图5所示,ia经过低通滤波器LPF1滤除谐波电流后得到

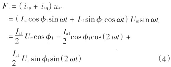
ia1与A相基准电压uar=Umsinωt在乘法器1中相乘后得

用低通滤波器LPF2滤除Fa中的二次谐波后得

式中:K为LPF2的放大系数。

LPF2的原理电路如图5(b)所示,这是三阶切比雪夫模拟式低通滤波器,其截止频率为22 Hz。
对于B相和C相同样可以求出

为了在负载不对称时能使市电输入电流三相对称,则可以令

图5中△Ud为蓄电池变化值,go减去△Ud再与Uar在乘法器2中相乘后得


式(9)、(10)、(11)即为Delta逆变器的电流指令值表示式。
2.l 消除市电输入电流中的无功与谐波分量
为了叙述方便,假定负载是对称的,并日蓄电池的电压变化量△Ud=0。
则Ia1=Ib1=Ic1=Io,由式(9)~式(11)可得

用iac*、ibc*、icc*作为Delta逆变器的指令值信号,采用图4所示的三角波比较控制方式去控制Delta逆变器,即可在Tra、Trb、Trc的次级输出补偿电流iac=-(iaq+iah)、ibc=-(ibq+ibh)、icc=-( icq+ich)。iac、ibc、icc。的方向与ia、ib、ic。相反,故可以消除ia、ib、ic中的无功与谐波电流,使市电输入功率因数等于1。
2.2 对负载不对称电流的补偿
为了叙述方便,假定ua=uar,ub=ubr,uc=ucr,三相负载为不对称电阻负载时,则各相输入电流中的无功与谐波电流等于零,并假定蓄电池电压的变化值△Ud=O,由式(9)~式(11)可得
iac*=Iocosφ1sinωt-ia

为了便于计算,假定UPS的容量为100KVA,市电电压为380/220V,A相负载R=0 49Ω.B相和C相空载如图6所示。市电输入电流为

用iac*、ibc*、icc*作为Della逆变器的指令值信号,采用图4所示的三角波比较控制方式去控制Delta逆变器,即可在Tra、Trb、Tcc次级得到补偿

ia、ib、ic相同。故可以使市电输入电流成为三相对称电流,即

当负载电流的有效值,IaL=450A,IbL=ICL= O时,补偿电流有效值Iac=-300A,Ibc=Icc=150A,补偿后的市电输入电流有效值为
Ia′=450—300A=150A
Ib′=Ic′=0+150=150A
负载电流与市电输入电流的向量关系如图7所示。


3 主逆变器的电压指令值运算电路
主逆变器也是一个用IGBT作开关的三相半桥式PWM逆变器,它也可以双向四象限工作,其开关频率也为5-20 kHz。对于主逆变器的控制策略是将其控制成正弦波电压源,以完成前面提到的功能。当市电掉电时向负载提供100%的功率。
3.1 稳定并消除负载上电压的谐波
主逆变器的电压指令值运算电路如图8所示。以A相为例,假定市电加到负载上的电压为
ua=uar+△Ual+Uah=UaL (12)
式中:uar为A相基准正弦波电压;
±△ual一为市电电压基波的波动值;
uah为谐波电压。

以uar为基准,用市电加到负载上的电压ua=uar±△uaI+uah=uaL与uar进行比较,得到差值

然后将此差值与uar相加即可得到电压指令值

用uac*按照图4所示的三角波比较控制方式去控制A相主逆变器,使其输出电压

由于市电电压ua与主逆变器的输出电压uao通过它们各自的滤波电感(也是平衡电感)LF1和LF2在uPs电路的
点并联后共同向负载供电,如图1右上角的小图所示,故根据电工学中节点电压法可知

此式说明,采用图8所示的电压指令值运算电路,按照图4所示的三角波比较控制方式对主逆变器进行控制,即使在市电电压中存在基波波动值±△uaI和谐波uah,也可以使负载上的电压成为等于基准正弦波电压uar的稳定正弦波电压。对于B相和c相也是如此。由于是分相进行的控制,故市电三相输入电压的不对称度也将会得到补偿。
3.2 向负载提供无功电流、谐波电流和不对称电流
由于主逆变器在UPS电路的
点处与市电并联后共同向负载供电,主逆变器又是工作在正弦波电压源状态,市电输入的电流是三相对称有功电流,根据基尔霍夫节点电流∑i=0的定律,在节点
负载所需的无功电流、谐波电流都将由主逆变器来供给。
当三相负载不对称时,由于主逆变器是三相四线制输出,并与市电在电路的
点处并联连接,因而它具有中性点形成变压器的功能,即使市电的输入电流为三相对称电流,在负载上也可以流过三相不对称电流。各相的不对称电流iaL-ia,ibL-ib,icL一ic将由主逆变器来供给。如图6所示,市电输入电流为Ia′=Ib′=Ic′=150A,负载电流有效值为IaL=450A,IbL=IcL=O,所以主逆变器各相的输出电流为Iac′=450—150=300A.Ibc′=O-150=一150A.Icc′=O-150=-150A。
3.3 市电掉电时向负载提供100%功率
当市电掉电时,由于基准正弦波电压发生器中本机振荡器的存在,用uar、ubr、ucr作为电压指令值信号,仍然可以使主逆变器向负载供电。此时主交流静态开关自动关断,以防止电流向市电倒灌。
4 对市电电压波动的补偿
由于负载电压uaL在主逆变器的控制下,保持uaL=uar稳定不变,因而,当市电电压波动时市电输入电压与负载电压之问就会出现电压差,需要由Delta逆变器进行补偿。在Delta逆变器的控制电路中,加入蓄电池电压变化信号±Ud就是专为此目的而设置的。±△Ud是直流信号、代表的是有功功率变化,故将其加到了电流指令值运算电路中的直流信号go上。为了叙述方便,假定三相负载是对称的电阻负载,此时市电输入电流中的无功与谐波电流等于零,此时由式(9)~式(11)可知

4.1 市电电压大于负载电压的补偿
以A相为例,其电流指令值iac*=-△UdUm·sinωt,用iac*控制Delta逆变器产生出补偿电压△Uac=-△UdUmSinωt,△Uac的方向与市电电流i。和电压Ua的方向相反。
当Ua>UaL=Uar时,如图9所示,市电输入功率Pa=UaIa,负载所需功率PaL=UaLiaL,则P>PaL,市电输入的多余功率△Pa=Pa-PaL将通过主逆变器整流后对蓄电池充电,暂存在蓄电池中。由于Ua的升高,使
点电压UaL上升,上升率
主逆变器的控制电路为了保持uaL=uar不变,控制主逆变器的输出电压‰降低,使Uao<UaL=Uar,主逆变器处于整流状态,蓄电池电压Ud上升。根据功率平衡的原则,Ud的上升率应等于市电电压的上升率,即

当Ud上升到Udr+△Ud>Udr时,+Ud通过图5所示的指令值运算电路控制Delta逆变器使其在变压器T。的次级产生一个补偿电压

式(21)说明得到了完全的补偿,市电入输的多余功率△P a=O,进入功率平衡状态。
当Ua=Uar+△UAI时,市电输入电流L必须相应减小△,Ia才能保证使市电输入功率等于负载所需的功率,Ia的减小是由+△Ud通过对Delta逆变器的控制来实现的。此时,下面的等式成立


由图9可知,根据基尔霍夫节点电流∑i=0的定律,在节点
市电输入的有功电流为Ia-△Ia,负载所需的有功电流IaL=Ia,不足的部分由蓄电池通过主逆变器来补足,使主逆变器处于逆变状态。假定X为变压器TaL次级的等效漏抗,则市电输入电压Ua在Tra次级的电压降为X(L+△Ia)+△Uac>△Uac,所以,Delta逆变器处于整流状态。使负载所需有功电流的不足部分
由负补偿电压-△Uac减少的市电输入功率,通过Delta逆变器的整流和主逆变器的逆变,以电流的形式来补足如图9中的实线路径所示。电压的向量关系为

4.2 市电电压小于负载电压的补偿
仍以A相为例,用iac控制Delta逆变器、产生出补偿电压△Uac=△udUmsint,其方向与市电电流ia和电压ua的方向相同。
当ua<UaL=Uar时,如图10所示,市电输入功率Pa=uaIa,负载所需功率PaL=uaLIaL,则Pa<PaL市电输入的不足功率△Pa=PaL-Pa将由蓄电池通过主逆变器的逆变来补足。由于Ua的降低,使
点电压UaL下降,下降率
主逆变器的控制电路为了保持UaL=Uar不变,控制主逆变器的输出电压Uao卜升,使uao>UaL=Uar,主逆变器处于逆变状态,蓄电池电压Ud下降,根据功率平衡的原则,Ud的下降率应等于市电电压的下降率,即

当Ud下降到Udr-△Ud<Udr时,-△Ud通过图5所示的指令值运算电路控制Delta逆变器使其在变压器Tra的次级产生一个补偿电压

式(24)说明得到了完全的补偿,市电输入的不足功率△Pa=O,进功率平衡状态。
当Ua=uar-△UaI时,市电输入电流Ia必须相应增大△Ia才能保证使市电输入功率等于负载所需的功率,Ia的增大是由-△Ud通过对Delta逆变器的控制来实现的。此时,下面的等式成立


由图10可知,根据基尔霍夫节点电流∑i=0的定律,在节点
市电输入的有功电流为Ia+△Ia,负载所需的有功电流IaL=Ia,多余的电流由蓄电池通过主逆变器来吸疏,使主逆变器处于整流状态,则市电输入电压ua在Tra次级的电压降为X(Ia+△Ia)一△Uac<△uac,所以,Della逆变器处于逆变状态,使负载所需有功电流的多余部分
由正补偿电压+△uac增大的市电输入功率,通过主逆变器的整流和Delta逆变器的逆变,以电流增大量△Ia反馈的形式来补偿如图10中的实线路径所示。电压的向量关系为

4.3 Tra次级电抗X的值
Tra变压器次级电抗X的值,可以通过如下的方法估算:普通变压器的电抗压降约为变压器容量的(3~5)%,故把Tra的电抗压降折算到负载额定电压uar抗压降标么值为
IaX=(0.03~0.05)×O.15<0.0075
此值很小,为了简化计算,在图9和图10中向量图内的jXI。可以认为是近似等于零。
4.4 Delta逆变器与主逆变器的补偿容量
Delta逆变器与主逆变器的补偿容量,与市电电压的波动范围和负载功率因数cosφL有关
对于Delta逆变器

对于主逆变器

式中:Ss与Sp为Delta逆变器和主逆变器补偿容量;
SL为负载容量,都是视在功率。
作出
的关系曲线如图11(a)、(b)所示。

5 试验波形
图12给出了单相电阻负载时的源侧电压和电流的试验波形,可知市电输入的三相电流波形是对称的,说明对不对称电阻负载电流进行了补偿。图13给出了单相电感负载时的源侧电压和电流的试验波形,可知其对负载的无功电流和不对称电流同时进行了补偿。图14给出了三相非线性负载时的源侧电压和电流的试验波形,可知对负载的谐波电流进行了补偿。


6 结语
三相串并联补偿式UPS,是最近几年才发展起来的一种新型UPS,它有很多优点,但也存在着.些缺点,其中最大的缺点是不能对不对称负载电流进行补偿。本文提出来的控制方法克服了这种缺点。