| 网站首页 | 电源技术 | 电源资料 | 电源论坛 | 电源电路 | 电源人才 | 电源供求 | 留言本站 | 繁體中文 | 
[ ] 文章搜索:
您现在的位置: 电源开发网 >> 电源技术 >> 新手入门 >> 设计研究 >> 正文
加钳位二极管的零电压开关PWM三电平直流变换器
http://www.dykf.com  2008-11-23  电源开发网           ★★★

1 引言

  随着电力电子技术的迅猛发展,对电能变换器的性能也提出了新的要求,尤其是对输入功率因数要求很高。为了满足这个要求,必须采用功率因数校正(Power Factor Correction,PFC)技术。三相PFC变换器的输出直流电压一般为760V~800V,有时甚至高达1000V,这使得后级的直流变换器开关管的选择变得十分困难。为了解决这个问题,1992年巴西的Pinheiro提出了零电压开关三电平直流变换器(Zero-Voltage-Switching Three-Level Converters,ZVS TL变换器)[1],该变换器的开关管电压应力为输入直流电压的一半。同时该变换器利用变压器漏感(或外加谐振电感)和开关管的结电容实现开关管的ZVS [1, 2]。F.Canales提出了零电压零电流开关(Zero-Voltage and Zero- Current-Switching,ZVZCS) TL变换器,其中两只开关管实现ZVS,另外两只开关管则实现ZCS[3]。文献[4]系统地研究了TL变换器的软开关技术。这些变换器均只实现了开关管的软开关,而输出整流管依然存在反向恢复问题,反向恢复引起电压振荡,输出整流管要承受电压尖峰,很容易损坏。

  本文提出一种新的ZVS TL变换器,如图1(a)所示,它在基本的ZVS TL变换器中增加两个二极管D7和D8,从而消除输出整流管的电压振荡和电压尖峰,同时保留原来的ZVS TL变换器的优点,即利用谐振电感和开关管的结电容实现开关管的ZVS。

  在图1(a)中,Cd1和Cd2为两个分压电容,其容量很大,而且相等,其电压均为输入电压Vin的一半。D5和D6为续流二极管,D1~D4分别是开关管Q1~Q4的体二极管,C1~C4分别是Q1~Q4的寄生电容或外接电容,Lr是谐振电感,Css是联结电容,分别将Q1和Q4、Q2和Q3的开关过程联系起来。该变换器采用移相控制(Phase-Shifted,PS),Q1和Q4为180°互补导通,Q2和Q3也为180°互补导通,Q1和Q4的驱动信号分别超前于Q2和Q3一个相位,即移相角,因此称Q1和Q4为超前管,Q2和Q3为滞后管。通过调节移相角的大小来调节输出电压。图1(b)给出了该变换器的主要波形。
 

(a) 主电路          (b) 主要波形

图1 加钳位二极管的ZVS PWM TL变换器

2 工作原理

  在一个开关周期中,该变换器共有18种开关状态。分析前,我们作如下假设:①所有开关管、二极管均为理想器件(整流二极管除外,它等效为一个理想二极管和一个电容并联);②所有电感、电容和变压器均为理想元件;③ , ;④ ,K是变压器原副边匝比。⑤电容Cd1和Cd2容量很大,将它们看作是两个电压为Vin/2的电压源;⑥Css容量很大,可等效为一个电压源Vin/2。

  图2给出了该变换器在不同开关状态下的等效电路,其工作情况描述如下。

1. 开关模态0 [t0时刻之前] [对应于图2(a)]

  在t0时刻之前,Q1和Q2导通,输出整流管DR1导通,DR2截止。

2. 开关模态1 [t0,t1] [对应于图2(b)]

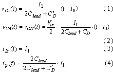
  在t0时刻关断Q1,原边电流ip给C1充电,同时通过CSS给C4放电, 下降。若此时变压器原边电压 不变,则谐振电感两端电压vAC<0,二极管D7立即导通,将vAC钳在0,因此vCB必定下降,副边电压相应下降,DR2的结电容CDR2的电压也下降,CDR2被放电。这样输出滤波电感电流一部分给CDR2放电,其余部分折算到原边给C1充电和给C4放电。该模态进一步的等效电路如图3所示,C’d为CDR2折算至原边的等效电容,I1为折算至原边的滤波电感电流,亦即t0时刻的原边电流。C1、C4的电压 、 和ip、iLr分别为:

  从式(4)中可知,ip在t0时刻阶跃下降,而iLr保持不变,其高于ip的部分流过D7。

  由于有C1、C4和C’d,Q1是零电压关断。到t1时刻,C4、C’d的电压下降到零,DR2自然导通,A点电位降至Vin/2,D5导通。

3. 开关模态2 [t1,t2] [对应于图2(c)]

  D5导通后,将Q4两端电压钳在零位,此时可以零电压开通Q4。此时 ,ip和iLr保持不变,DR1和DR2同时导通。

4. 开关模态3 [t2,t3] [对应于图2(d)]

  t2时刻关断Q2,iLr给C2充电,同时通过Css给C3放电,由于C2和C3的存在,Q2是零电压关断。此时,
,由于DR1和DR2都导通,变压器副边和原边电压均为零, vAB全部加在Lr上。因此在这段时间里,Lr和C2、C3谐振工作,iLr和C2、C3的电压分别为:

  t2时刻, 升至Vin/2, 降至0,结束此开关模态。

5. 开关模态4 [t3,t4] [对应于图2(e)]

  t3时刻,D3自然导通,此时可以零电压开通Q3。由于ip不足以提供负载电流,DR1和DR2依然同时导通, D5、D7继续导通,Vin/2全部加在Lr上,iLr线性下降:
      (8)

  到t4时刻,iLr与ip相等,D7自然关断。


图2 各种开关状态下的等效电路


6. 开关模态5 [t4,t5] [对应于图2(f)]

  在这一阶段中,DR1和DR2继续同时导通,Vin/2全部加在Lr上,iLr和ip同时线性下降。
      (9)

  到t5时刻,ip降至零,D5自然关断。

7. 开关模态6 [t5,t6] [对应于图2(g)]

  t5时刻,ip由正值过零,且向负方向增加,Q3和Q4为ip提供通路,由于ip仍不足以提供负载电流,DR1和DR2同时导通,因此加在Lr上的电压为Vin/2,iLr和ip线性下降:

  到t6时刻,ip达到折算至原边的负载电流 ,DR1关断,DR2流过全部负载电流。

8. 开关模态7 [t6,t7] [对应于图2(h)]

  在t6时刻,Lr与CDR1谐振工作,给DR1的结电容CDR1充电,ip和iLr继续增加。


9. 开关模态8 [t7,t8] [对应于图2(i)]

  当D8导通后,ip阶跃下降到折算到原边的滤波电感电流,而iLr保持不变,它与ip的差值从D8中流过。在这段时间里,滤波电感电流线性增加,ip也随之线性增加,因此D8的电流是线性下降的。
        (14)

  到t8时刻,ip和iLr相等,该模态结束。

10. 开关模态9 [t8,t9] [对应于图2(j)]

  在此模态中,原边给副边提供能量,ip与iLr相等,表达式与(14)一样。

3 实现ZVS和副边占空比丢失

3.1 超前管ZVS的实现

  从开关模态1的分析可知,超前管要实现ZVS,必须有足够的能量来抽走即将开通的开关管Q4的结电容C4及截止整流管DR2的结电容CDR2上的电荷,并给刚关断的开关管Q1的结电容C1充电,即:

  该能量由滤波电感提供,滤波电感很大,其能量足以在很宽的负载范围内实现超前管的ZVS,即超前管容易实现ZVS。基本的ZVS PWM TL变换器是利用滤波电感和谐振电感两者的能量,但谐振电感的能量与滤波电感的能量相比较小,可以忽略,因此两种变换器实现超前管的ZVS的负载范围基本相同。

3.2滞后管ZVS的实现

  从开关模态3可知,滞后管要实现ZVS,必须有足够的能量来抽走将要开通的开关管Q3的结电容C3上的电荷,并给关断的开关管Q2的结电容C2充电,该能量由谐振电感提供,那么要求:

  这与基本的ZVS PWM TL变换器是一样的。由于谐振电感比折算到原边的滤波电感小得多,所以相对于超前管而言,滞后管实现ZVS较困难。一般采取增加谐振电感的方法来扩大滞后管实现ZVS的范围。

3.3副边占空比的丢失

  由于谐振电感的存在,原边电流从正(负)向变化到负(正)向折算到原边的负载电流需要一定的时间,即图中的[t2,t6]和[t11,t15],这段时间里,虽然原边有正(或负)电压方波,但原边电流不足以提供负载电流,副边两个整流管都导通,负载处于续流状态,副边整流后的电压vrect为零,这样副边电压就丢失了[t2,t6]和[t11,t15]这部分方波电压,如图1(b)中阴影部分即丢失的电压方波。副边丢失的电压方波时间为[t2,t6],它与开关周期Ts的一半的比值就是副边占空比丢失Dloss,即:

  从该式可以看出,①Lr越大,Dloss越大;②负载越大,Dloss越大;③Vin越低,Dloss越大。这与与基本的ZVS TL变换器基本一样。

4 实验结果与讨论

  为了验证加钳位二极管的ZVS PWM TL变换器的工作原理,在实验室研制了一台原理样机,所用的主要数据为:输入三相交流电压:380V±20%,整流后的直流电压为Vin=530V±20%;输出直流电压:Vo=54V;Q1(D1&C1) ~ Q4(D4&C4):IRF840;谐振电感:Lr=26uH;变压器原副边匝比:3;输出滤波电感:Lf=70uH;输出滤波电容:Cf=6600uF;开关频率:fs=100kHz。

  图4给出了实验波形,图4(a)是变压器原边电压vAB、谐振电感电流iLr、变压器原边电流ip和整流电压vrect,从中可以看出,整流后的电压vrect没有任何振荡和电压尖峰,这要归功于两个钳位二极管D7和D8。如果不加钳位二极管,其波形如图4(b)所示,尽管输出整流管上加了RC吸收电路,整流后的电压vrect仍明显存在振荡和较高的电压尖峰。从图4(a)中也可以看出,原边电流存在从正向(负向)到负向(正向)的过渡时间(如图中两条虚线之间),这导致了副边占空比的丢失。图4(c)给出了vAB、iLr、ip和D5及D7的电流波形,该图说明当变换器工作在零状态时,续流二极管为ip提供通路,而钳位二极管则为iLr和ip的差值提供通路。

  图4(d)和(e)分别给出了超前管Q1和滞后管Q2的驱动信号 ,漏、源极电压 和漏极电流iD,该图表明,它们均实现了ZVS。

  图5给出了加钳位二极管的ZVS PWM TL变换器和不加钳位二极管的ZVS PWM TL变换器的整机变换效率,图5(a)是在额定输入线电压380V交流电,不同的输出电流下电源的变换效率。该图表明,5A输出电流时效率最高,为91.1%,10A时大于89%。图5(b)是在输出满载10A,在不同的输入交流电压时,变换器的变换效率,该图表明,输入电压越高,变换效率越低,这是因为输入电压越高,变换器零状态的时间越长,而零状态不为负载提供能量,却在原边的开关管、谐振电感和变压器原边绕组中产生通态损耗。从中还可以看出,加钳位二极管后的变换效率明显高于不加钳位二极管的效率,这是因为输出整流管上没有电压振荡,不必采用RC有损吸收电路。实际上,加入钳位二极管后,整流管上的电压应力几乎只有不加钳位二极管时的一半,这样整流管可以采用电压定额低的二极管,而低压的二极管的导通压降比高压的低,变换效率可进一步提高。
 


5 结论

  本文提出了一种加钳位二极管的ZVS TL变换器,它只是在基本的ZVS TL变换器中加入两个二极管,就消除了输出整流二极管上的电压振荡和电压尖峰,这样不必加有损吸收电路,而且几乎使整流管的电压应力降低一半,因而可选择低压的整流管,从而可以提高变换效率。该变换器还保留了基本的ZVS TL变换器的优点,即利用滤波电感的能量,在很宽的负载范围内实现超前管的ZVS,利用谐振电感的能量来实现滞后管的ZVS;当然也存在占空比丢失的问题。


参 考 文 献

[1] J.Renes Pinheiro and Ivo Barbi, “The three-level zvs pwm converter – A new concept in high-voltage dc-to-dc conversion,” IEEE IECON, 1992, pp.173-178

[2] J.Renes Pinheiro and Ivo Barbi, “Wide load range three-level zvs-pwm dc-to-dc converter,” IEEE PESC, 1993, pp.171-177

[3] F.Canales, P.M.Barbosa and F.C.Lee, “A zero-voltage and zero-current-switching three level dc/dc converter,” Proceedings of VPEC, 1999

[4] Xinbo Ruan and Yangguang Yan, “Soft-switching techniques for pwm three-level converters,” Proceedings of the 3rd international power electronics and motion control conference (IPEMC), 2000, pp.417-423
来源:《电源世界》  作者:阮新波 许…  点击:  录入:admin
收藏此页】【字体: 】【打印此文】【关闭窗口
※相关链接※
网友评论:(只显示最新10条。评论内容只代表网友观点,与本站立场无关!) 发表评论
专 题 栏 目
推 荐 图 书
热 门 文 章
热 门 下 载
热 门 电 路
论 坛 推 荐
精 彩 广 告

关于本站 - 广告服务 - 联系我们 - 版权申明 - 网站地图 - RSS订阅 - 友情链接 - -
Copyright@2004-2014 ◆电源开发网◆ All Rights Reserved