| 网站首页 | 电源技术 | 电源资料 | 电源论坛 | 电源电路 | 电源人才 | 电源供求 | 留言本站 | 繁體中文 | 
[ ] 文章搜索:
您现在的位置: 电源开发网 >> 电源技术 >> 新手入门 >> 设计研究 >> 正文
不连续模式反激变换器的基本原理和电路设计
http://www.dykf.com  2008-11-16  电源开发网           ★★★

Abstract:The basic operation and electricity design of discontinuous-mode flyback converter is introduced. It is helpful to know well about the basic operation of discontinuous-mode flyback converter, to master the design method and the parameters relation. Magnetism design is not involved in this paper.

Keyword:flyback converter, discontinuous-mode, electricity design, parameters

1.介绍
  反激变换器拓扑在5W到150W的小功率场合中得到广泛的应用。这个拓扑的重要优点是在变换器的输出端不需要滤波电感,从而节约了成本,减小了体积。在以往一些中文参考资料的叙述中,由于同时涉及电路和磁路的设计,容易造成设计过程中的混乱,反激变换器电路本身的一些特性却没有得到应有的体现。在文献【1】中,介绍了反激变换器的基本工作原理,对不连续模式反激变换器的设计过程,各参数之间的决定关系作了简练而准确的描述。由于电路设计和磁路设计分别介绍,对读者掌握反激变换器的设计有很好的帮助。磁路设计在本文中不涉及,可以参考相关文献。


2.不连续模式反激变换器的基本原理
  反激变换器在开关管导通期间,变压器储能,负载电流由输出滤波电容提供。在开关管关断期间,储存在变压器中的能量转换到负载,提供负载电流,同时给输出滤波电容充电,并补偿开关管导通期间损失的能量。
  图1a是反激变换器的基本拓扑。图中有两个输出电路,一个主输出和一个从输出。负反馈闭合环路采样主输出电压Vom。Vom的采样值与参考值比较,输出的误差信号放大信号控制Q1的导通时间脉冲,使得Vom的采样值在电网和负载变化时等于参考电压,从而稳定输出电压。从输出跟随主输出得到相应的调节。
  电路的工作过程如下:当Q1导通,所有线圈的同名端(带·)相对于非同名端(不带·)是负极性。输出整流二极管D1和D2反向偏置,输出负载电流由输出滤波电容C1和C2提供。
  在Q1导通期间,Np上施加了一个固定的电压(Vdc-1)(这里假设开关管的导通压降是1V),并且流过以斜率dI/dt=(Vdc-1)Lp线性上升的电流,这里Lp是原边的磁化电感。在导通时间的最后,原边电流上升到Ip=(Vdc-1)Ton/Lp。这个电流代表电感上储存的能量为

(1)

这里E单位焦耳,Lp单位亨,Ip单位安培
  当Q1关断,磁性电感上的电流强制使所有线圈上的极性反向。假设这时没有从次级绕组,只有主次级绕组,由于电感中的电流不能瞬时改变,在关断的瞬时,原边电流转换到次级,幅值为Is=Ip(Np/Nm)。
  经过几个周期以后,次级DC电压Vom已经建立。随着Q1关断,Nm上的同名端为正极性,电流从同名端流出,并且线性地下降(图1c),斜率为dIs/dt=Vom/Ls,其中Ls是次级电感。如果次级电流在下一个导通时间之前下降到0,则储存在原边电感的能量全部释放到负载,称这个电路工作于不连续模式。输入功率表示为在Q1一个导通时间T释放的能量E,那么在这个周期的最后,从Vdc吸收的功率为
(2a)

  另由于Ip=(Vdc-1)Ton/Lp,那么
(2b)

  从(2b)式可以看出,只要保持VdcTon的积为常数,则反馈环保持输出电压为常数。

图1 不连续模式反激变换器。(当Q1导通,所有整流二极管反向偏置,输出电流由输出电容提供。Np相当于一个纯电感,负载电流在Np中线性地建立直到峰值Ip。当Q1关断,原边储存的能量
释放到副边,提供负载电流,并补充电容在Q1导通期间损失的能量。如果电流在下一个导通周期开始之前到达0,电路就是不连续的)



3.输出电压和输入电压,导通时间,负载的关系
  若变换器的效率为80%,则

  从(2b)式可以看出,最大导通时间
发生在最小供电电压
,所以
那么,


(3)

  这样当Vdc或Ro上升时,反馈环会通过减小Ton来调节输出。Vdc或Ro下降时,则增加Ton。


4.电路设计的流程和各参数之间的决定关系

4.1确定原边/副边匝数比
  在正确的设计流程中,有很多参数需要确定,首先是选择原边/主副边匝数比Np/Nsm。这个参数决定了在功率开关管上的最大关断电压应力
(不考虑漏感尖峰)。忽略漏感尖峰,在最大DC输入
和1V整流压降下,最大开关电压应力是
(4)

  假设漏感尖峰为0.3Vdc,在保证开关管相关参数(Vceo,Vcer或Vcev)的最大额定值有大于30%的安全裕量下,
的选择应尽可能低。

4.2确保磁心不饱和,电路保持不连续模式
  为了保证磁心不会偏离磁滞环路,导通伏-秒积(图1d中的A1)必须等于复位伏-秒积(图1d中的A2)。假设Q1导通压降和D2正向导通压降均是1V,
(5)

这里Tr是复位时间,也是次级电流需要的回复到0的时间,参看图1c。
  为了保证电路工作于不连续模式,设置死区时间(图1c中Tdt),以便最大导通时间
(在Vdc最小时发生)加上复位时间Tr时只有整个周期的80%。留出0.2T的裕量应付Ro的意外下降,因为根据(3)式,如果Ro减小,反馈环会增加Ton以保持Vo为常数。
  由于误差放大器设计在不连续时可以保持环路稳定,如果电路间歇性地入连续模式,将会发生振荡。振荡发生的过程如下,DC负载电流的增大或者Vdc的减少引起误差放大器增加Ton以保持Vo为常数,参看(3)式。Ton的增加导致死区时间Tdt的减小,甚至次级电流在Q1下一个导通时间开始之前没有下降到0,这就是连续模式的开始。如果误差放大器没有非常低的带宽来应付这种情况,电路就会发生振荡。为保证电路保持不连续模式,最大导通时间要要满足以下关系


(6)

  当Np/Nsm已经由(4)式根据确定的
计算出来时,(5)式和(6)式中就只有两个未知数,那么可以从这两个等式得出
(7)


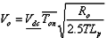
4.3由最小输出电阻和最小DC输入电压确定的原边电感
  从(3)式,原边电感为
(8)


4.4开关峰值电流,最大电压应力
  如果是双极性三极管,在峰值电流为
(9)

时应该有可接受的高增益。这里
是确定的。
由(7)式计算得出,Lp由(8)式计算得出。
  如果是MOSFET,应该将从(9)式得出的计算值增大5-10倍作为峰值额定电流,以便它的导通电阻足够低,产生低压降。

4.5原边和副边均方根电流
  原边电流是具有峰值Ip(由(9)式计算得出)的三角波。它的均方根值是
(10)

这里Ip和
由(9)式和(7)式给出。
  副边电流是峰值为Is=Ip(Np/Ns)的三角波,导通时间为Tr,原边/副边匝数比Np/Ns由(4)式给出,Tr=(T-Ton)。则次级均方根电流为
(11)

  知道了均方根电流,就可以确定变压器原边和副边的线径。按500圆密耳/安培计,将上述计算的均方根值乘以500,即得到导线的圆密耳值。

4.6 输出滤波电容的确定
  输出滤波电容根据输出电压纹波的要求来确定。必须保证在最大输出电流(Io(max))时电压纹波(△V)仍然在规定范围内
(12)

  由于在开关管关断的瞬间,副边峰值电流流过输出电容的等效串联电阻Resr,引起电压降落。因此,实际中Co的取值比计算值大。


参考文献
[1]Switching power supply design / Abraham I. Pressmen. New York ; McGraw-Hill, c1998. c1998
来源:《电源世界》  作者:刘小光  …  点击:  录入:admin
收藏此页】【字体: 】【打印此文】【关闭窗口
※相关链接※
网友评论:(只显示最新10条。评论内容只代表网友观点,与本站立场无关!) 发表评论
专 题 栏 目
推 荐 图 书
热 门 文 章
热 门 下 载
热 门 电 路
论 坛 推 荐
精 彩 广 告

关于本站 - 广告服务 - 联系我们 - 版权申明 - 网站地图 - RSS订阅 - 友情链接 - -
Copyright@2004-2014 ◆电源开发网◆ All Rights Reserved