0 引 言
通过数学的方法,把小功率开关电源系统表示成数学模型和非线性控制模型,建立一种开关电源全系统的仿真模型,提高了仿真速度。Matlab是一个高级的数学分析软件,Simulink是运行在Matlab环境下,用于建模、仿真和分析动态系统的软件包,它支持连续、离散及两者混合的线性及非线性系统。
在Matlab 5.2中推出了电力系统工具箱,该工具箱可以与Simulink配合使用,能够更方便地对电力电子系统进行仿真。随着电源技术的发展,PWM控制的开关电源得到了广泛的研究和应用,如通信电源,机车电源等。这里以220 V高频开关电源为研究对象,建立模型。该电源采用脉宽调制控制方式,实现了减轻重量、缩小体积、提高精度等多项指标要求,在开关电源的系统模型研究中极具代表性。主回路采用DC—HFAC—DC—LFAC结构,并利用Matlab建立一个离散的、非线性的模型。分别对系统进行开环和闭环仿真,并对仿真结果进行比较与分析。
1 电路原理图
电路原理如图1所示。

2 仿真电路
图2中各子模块的仿真模型如图3~图10所示。该系统的仿真参数为:直流升压电路仿真参数设置:工作频率∫=20 kHz;变压器变比k=13;输出滤波L=8 μH,c=300/μF。全桥逆变电路仿真参数设置:工作频率f=25 kHz,输出滤波L=80 mH,c=100 μF。这里设置相应仿真参数进行仿真调试。

2.1 输入回路的建模
使用电力系统工具箱的电源模块以及电阻电容模块可以很便捷地建立输入回路的仿真模型。输入采用两级LC直流输入滤波技术,在保证稳态滤波效果的同时,限制了瞬态谐振峰值,具有无功耗,高衰减,可控谐振峰值等优点。

2.2 DC—DC回路的建模
由图1可知,输出回路中的整流二极管不能流过反向电流,这也是一个非线性环节,建立非线性的数学模型。
2.2.1 DC—DC主电路的建模
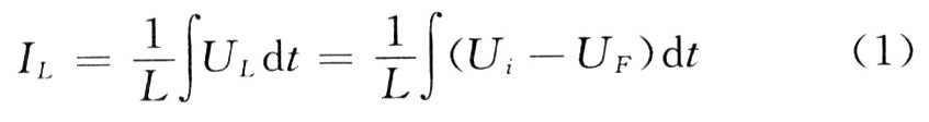
根据图1可知,滤波电感中电流为:

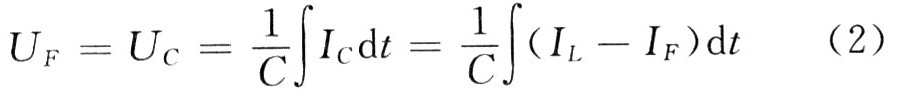
式中:Ui为不控整流的输出电压;UF为负载电压;UL为电感电压;负载电压为:

式中:UC电容电压;IL为电感电流;Ic为电容电流;LF为负载电流。

2.2.2 PI调节器的建模
比例积分调节器仿真模型(PI)如图5所示。
PI调节器的输出波形如图6所示。

2.2.3 PWM控制器的建模
仿真利用积分关系来产生三角波,Simulink中 Sources有脉冲发生器(PulseGenerator),使其产生频 率为20 kHz,幅值为4×104,占空比为50%的信号。
2.3 逆变电路的建模
逆变电路仿真模型(Inverter)如图9所示。
2.3.1 PI调节器的建模
比例积分调节器仿真模型(P11)如图10所示,其输出波形如图11所示。

2.3.2 SPWM的建模
正弦宽度调制模型仿真模块(SPwM)如图12所示。
2.4 输出回路的建模
输出及显示模块仿真模型(output)如图13所示。

3 仿真结果
建立Sireulink系统仿真模型,仿真模型设置仿真时间0.3 s,并选择变步长的odel5算法,在输入电压为48 V,负载为额定负载情况下,启动仿真可得其输出波形,输出电压波形图和THD频谱图如图14和图15所示。

3.1 开环仿真
开环仿真如图14所示。
3.2 闭环仿真
闭环仿真如图15所示。
从频谱分析上可以看出,开环时,总谐波系数(THD)为3.02%,且三次谐波含量比较大。闭环时,总谐波系数(THD)为0.07%,谐波含量非常少。从电压波形上可以看出,开环时电压输出波形在第3个周期才达到稳定,而闭环时在第2个周期就达到了稳定,所以闭环时电压达到稳定值的速度比开环时要快。
4 结 语
该模型不仅可用于来考查系统内部主要状态的瞬态变化过程,还可用于来对控制回路进行分析和设计。这对于提高控制系统的性能具有现实意义和研究价值。用数学方法实现开关电源系统的建模,选择仿真时间为0.3 s,完成仿真只要40 s左右,不仅避免了其他工具的极慢仿真速度,还提高了仿真的可靠性。Sireulink是控制系统仿真的一种功能完善、实现系统控制容易、构造模型简单的强大的动态仿真工具。