| 网站首页 | 电源技术 | 电源资料 | 电源论坛 | 电源电路 | 电源人才 | 电源供求 | 留言本站 | 繁體中文 | 
[ ] 文章搜索:
您现在的位置: 电源开发网 >> 电源技术 >> 线路仿真 >> Matlab仿真 >> 正文
新型可实现宽范围电压输出的变换器分析与仿真
http://www.dykf.com  2008-11-23  电源开发网           ★★★

Abstract:A new class of single-transistor quadratic converter is introduced, which features are: (1) voltage conversions ratio equal to D2, where D is the duty cycle; (2) with a wide voltage conversion range .Since this quadratic converter may have multi-mode operations, the mathematical approach to analyze this converter will be very involved. Therefore, state space average approach is used to analyze this quadratic converter under various operation conditions. Validity of these states space average models are verified by experiments.

Keyword:quadratic converter states space average model small signal frequency response

1. 引言

  本文提出的转换比等于D2的新型平方型变换器适用于实现宽范围电压输出,尤其是在输入电压很高时能够得到很低输出电压的场合,这些场合需要变换器的电压转换比要尽可能的低,其范围要尽可能的宽。在图1中可以看到,对应最小占空比Dmin, 函数 D2所对应的最小可获得转换比要低于函数D所对应的值。
  该新型平方型变换器可以由两个Buck变换器串联而成,结构如图2中所示,因其拓扑中只含有一个开关管,故电路结构简单。尽管它的拓扑要比两个Buck变换器直接串联所得的拓扑简单,但应充分注意到主开关管Q1与二极管D2的同步问题。如果二极管D2 与主开关管Q1 不同步,该变换器的建模以及小信号传递函数都要比由两个Buck变换器直接串联所得的变换器难的多。


图1 占空比与转换比的关系曲线


图2 变换率等于D2的单管平方型变换器的拓扑

  在对单管平方型变换器分析中,等效电路的非线性,多工作模式(连续与非连续导通模式)的存在,以及二极管D2 与主开关管Q1 不同步都使得分析变得困难,在这种情况下计算机辅助分析是非常必要的,所以本文对变换器建模并利用SImetrix 和Matlab进行了仿真。

2. 变换器的工作模式分析

  对主开关管Q1 的开通和关断阶段分别进行讨论。
  (1) 关管Q1 关断期间
    在主开关管Q1关断期间,二极管D2 也必须是关断的,因此在这段时间内两个转换阶段可以认为是分离的,电感电流的斜率为:

  (2) 开关管Q1 开通期间
    在主开关管Q1 关断期间,二极管D2 有可能在整个阶段都是导通的(例如二极管D2与主开关管Q1是同步的),也可能在一段时间是导通的,一段时间是关断的(例如二极管D2 与主开关管Q1不同步)。这两种情况接下来都要被考虑到:

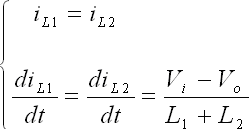
  (A)工作模式1 :二极管D2 与主开关管Q1 保持同步,即在主开关管Q1 导通期间,二极管D2也导通,在这种情况下,变换器的工作状况就相当于两个Buck电路的串联。在图3中给出了在该工况下的电感电流波形,图5给出了等效电路。从图3中可以看出,在同步阶段,电感L1的电流总是小于电感L2的电流。


图3 工作模式1的波形


图4 工作模式1的开关模态所对应的等效电路


  (B) 工作模式2:二极管D2 与主开关管Q1不同步,即在主开关管Q1 导通期间,二极管D2 有可能关断,在这种情况下又有可能出现两种情形。在这两种情形种二极管D2 都是在主开关管Q1 导通期间内有一段时间是关断的。
  情形I: 在图5中给出了情形1中的电感电流波形,图6中给出了等效电路图。在导通阶段开始时iL2>iL1, 二极管D2导通,并且经过一段时间d1*T(这里T是周期),iL1=iL2,之后二极管D2 将被关断。
  在0<t<d1*T, iL2>iL1,二极管D2导通,在这段时间内等效电路图见图6中(a),电感电流的斜率为:
(2)

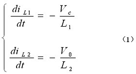
  在t=<d1*T, iL2=iL1,之后二极管D2关断,该平方型变换器的等效电路改变为图6中(b)所示:
  在d1*T<t<D*T,
(3)

  当开关管关断,电感电流的斜率又同方程(1)中所示.


图5 工作模式2中情形I的波形



图6 工作模式2中情形I的开关模态所对应的等效电路


  情形II: 图7中给出了在情形2中的电感电流的波形,在开关管导通开始时,iL1>iL2,并且二极管D2一直关断,直到d2*T才导通。
  在0<t<d2*T, iL1>iL2二极管D2是关断的,续流二极管D1是开通的,此时的等效电路如图8中(a)所示。此期间的电感电流的斜率为:
    (4)

  在t= d2*T, iL1=iL2, 二极管D1此时关断。
  在d2*T<t< D*T, 二极管D2开始导通,此段时间内的等效电路如图8中(b)所示,在此期间,电感电流的斜率为:
   (5)

  当主开关管Q1关断,电感电流的斜率同方程(1)


图7 工作模式2中情形II的波形



图8工作模式2中情形II的开关模态所对应的等效电路


2. 新型平方型变换器的建模及仿真

    本文采用状态空间平均法对变换器的各个工作模式进行建摸。
  (1) 工作模态1的状态空间平均模型为:

  (2) 工作模态2中情形I的状态空间平均模型为:

  (3)工作模态2中情形II的状态空间平均模型为:

    利用SImetrix的仿真结果如图9中的(a)、(b)、(c)所示,由仿真结果可见,以上对本文所提出的平方型变换器的各个工作模式的理论分析是合理的。



图9 各个工作模式的仿真波形


4.对仿真结果的实验验证

  按照图2给出的拓扑搭建了实际电路,并对每种工作模式下的仿真结果进行了验证。对实际电路的占空比对输出的小信号频率响应在本文中所讨论的三种不同的工作模式下进行了测量,并在图10到图12中给出了实验结果与利用Matlab所得的仿真结果的比较。从比较的结果中可以看出本文提出的状态空间模型用于分析电压转换比等于D2的新型变换器是精确和可行的。


Fig 10.工作模式1所对应的频率响应


Fig 11.工作模式2中情形I所对应的频率响应


Fig 12.工作模式2中情形II所对应的频率响应


5.结论

  新型单管平方型变换器的特点在于:(1)电压转换比等于D2;(2)较传统变换器具有较宽的电压转换比范围;(3)具有简单的电路结构,只含有一个功率开关管。但由于该变换器可能涉及到多个工作模式,使得对该变换器的分析和建模变的复杂,本文提出了采用状态空间平均法对其各个工作模态分别进行建模,并用实验对仿真的精确性和可行性进行了验证。

参考文献

[1]  H. Matsuo and K. Harada,” The cascade connection of switching regulators,” IEEE Trans. Ind. Appl. , vol. 1A-3, no. 2, Mar/Apr. 1976
[2]  D. Maksimavic and S. Cuk, “General properties and synthesis of PWM dc-to-dc converter,” in IEEE Power Electronics Specialists Conf. Rec.,1989. PP. 515-525.
[3]  张占松,蔡宣三. 开关电源的原理与设计. 北京:电子工业出版社,1998。
来源:《电源世界》2004年第8期  作者:田国涛 王…  点击:  录入:admin
收藏此页】【字体: 】【打印此文】【关闭窗口
※相关链接※
网友评论:(只显示最新10条。评论内容只代表网友观点,与本站立场无关!) 发表评论
专 题 栏 目
推 荐 图 书
热 门 文 章
热 门 下 载
热 门 电 路
论 坛 推 荐
精 彩 广 告

关于本站 - 广告服务 - 联系我们 - 版权申明 - 网站地图 - RSS订阅 - 友情链接 - -
Copyright@2004-2014 ◆电源开发网◆ All Rights Reserved