1 概述
随着汽车数量的不断增加,汽车排放气对环境造成的污染越来越严重,在大城市中,汽车排放气占了大气污染物(一氧化碳,碳氢化合物以及氮的氧化物)的60~80%.已经成为空气污染物的主要来源。为了减少城市中的空气污染.适应世界各国越来越严格的汽车排放标准.各大汽车公司均投入了巨资积极发展电动车。其中电动大客车由于载客量大.综合效益高已成为优先发展的对象。电动车(尤其是电动大客车)大都采用三相交流电动机,由于电机的功率都比较大,使三相逆变器中的开关器件需要承受的电压和电流的应力较大,较高的du/dt又使电磁辐射干扰严重,并且还使开关器件的发热量增大。而采用串联多电平逆变器,则可以大大减少开关器件承受的电压应力.也降低了du/dt的值和电磁辐射干扰,同时开关器件的发热量也大大减少;由于输出电压电
平数的增加,也使输出电压的波形更加接近于正弦,控制性能也得到了较大的改善。
图 1 为电动车用串联多电平逆变器的主电路 图,其中每一相都是由N个单相全桥式逆变器直 接串联组成的,每一个单相全桥式逆变器,都具有 独市且相同的直流电源供电,在电动车上就是由 独立且相同的蓄电池供电.以便于蓄电池的外充 电及拆卸更换。电动车用串联多电平逆变器,在 本文中介绍两种,一种是采用单相全桥式SPWM 逆变单元直接串联组成的,可以调压的多电平
SPWM逆变器;另一种是采用单相全桥式方波逆 变单元直接串联组成的、不可以调压的多电半逆 变器。
2 可调压的串联多电平SPWM逆变器
可调压的串联多电平SPWM逆变器,是通过 N个具有相同独市直流电源的单相全桥式三阶 SPWM逆变单元以直接串联的方式级联而成的。 它的控制方法是用N个依次移开2π/N相位角 的载波三角被、与同一个正弦调制波进行比较,产 生出N组控制信号,用这N组控制信号(N组信 号依次相差2π/N相位角)去依次控制N个具有 相同独立直流电源的单相全桥式三阶SPWM逆变 单元,使每一个单相全桥逆变单元输出相同的基 波电压,然后将N个单相全桥逆变单元的输出电 压直接串联叠加起来,就可以得到多电平SPWM 低谐波电压输出,这种串联不存在开关器件的均 压问题。
2.1 两个单相全桥式三阶SPWM逆变单元的串联
两个具有相同独立直流电源单相全桥式 SPWM逆变单元的直接串联电路如图2所示。由于 N=2.所以载波三角波的移相角α=2π/2=π=180°。对于三相输出逆变器来说,其A相电路由两 个单相全桥式SPWM逆变单元A1和A2串联组 成.A1的载波三角波的移相角α=0°;A2的载波三 角波的移相角α=2π/2=180°。A1和A2的载波三 角波用同一个A相的正弦波进行调制.这样就可 以得到A1的输出电压up1和A2的输出电压Up2. up1和up2具有相同的基波电压.A1和A2串联后的 输出电压uA=up1+up2就是输出为接近于正弦波的SPWM多电平阶梯波.其波形如图3所示.
为了求出单相全桥式三阶SPWM逆变单元 A1及A2的输出电压up1.up2的SPWM波形,必须先求出SPWM波形中各个脉冲前,后测a、h点的座标,为此先列出载波三角波的方程式。
对于单相全桥式三阶SPWM逆变单元A1,α=0°
对于单相全桥式三阶SPWM逆变单元A1,α=180°。
对于单相全桥式三阶SPWM逆变单元A2,α=180°。
式(1)~式(3)中:ωc及ωs分别为三角波和正弦 波的角频率;
Uc及Us分别为三角波和正弦 波电压的幅值。
对于单相全桥逆变单元A2的输出电压up2的 波形,在采样点a:
从图3中A2的up2波形可知,X=ωct在2πk+α到2π(k+1)+α区间内,在a.b点之间 得到up2的正脉冲.故可以得到up2的SPWM波的
时间函数式为
函数up2(X,Y)可以用双重傅里叶级数表示,
当n=1时,Bo1=ME;当n≠1时,Bon=0故得up2的SPWM波形的双重傅里叶级数式为
由于A1的载波三角波的α=0;A2的载波三 角波的α=l80°=π,A1和A2用的又是同一个正弦调制波,所以由式(8)可得

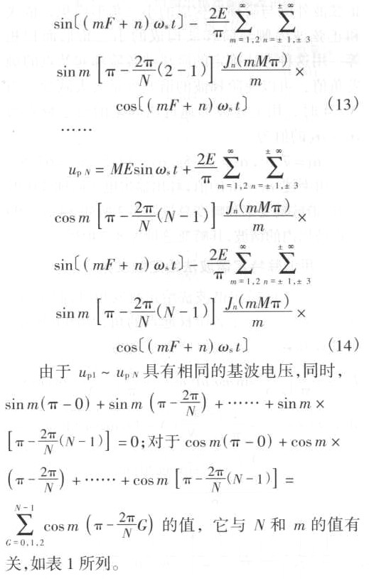
由于up1和up2的基波电压相同;同时又有 sin m(π-0)+sinm(π-π)=0。对于cosm(π-0)+cosm(π-π),当m等于奇数时等于零,所以式(9)和式(10)相加得到uA的双重傅里叶级数式为

由式(11)可知,N=2的串联叠加在逆变器A 相输出电压中得到的是五电平电压输出。在uA中 不再包含2F±1次以下的谐波.仅包含2F±l以 上的谐波.uA=up1+up2的波形如图3所示。
2.2 N个单相全桥式三阶SSPWM逆变单元的串 联
当单相全桥式三阶SPWM逆变单元的个数 N,取等于或大于2的任一自然数时,都可以利用 上述直接串联叠加的方法,获得多电平SPWM输 出电压波形,其电路如图1中的A相所示.直接串 联叠加可以消除单相全桥式逆变单元SPWM波形 中小于NF±1次的谐波成分.其载波三角波的移 相角依次移开2π/N.对于图1所示逆变器主电 路的A相,单相全桥逆变单元A1的α=0,A2的α=(2一1)2π/N,A3的α=(3一1)2π/N,……, AN的α=(N一1)2π/N,A1~AN用同一个A相 正弦波作调制波,得到A1~AN的输出电压up1~ upN的三阶SPWM波形.

一般在实际应用时,N取4或5就可以了。
例如.当N=5时.
当N=5时,串联叠加后在A相输出电压中将得到11电平SPWM电压输出,在输出电压uA中将不再包含5F±1次以下的谐波,而只包含5F±1次以上的谐波,其波形如图4下面部分所示。
由式(15)可知,采用N个具有独立直流电源的 单相全桥式SPWM逆变单元直接串联叠加后,在A 相输出电压中将得到(2N+1)个电平的SPWM电 压输出,在uA的双重傅里叶级数中可以消除NF±1 次以下的谐波。例如当开关频率fs=6 000 Hz,载 波比F=wc/ws=120.N=5时,在A相输出电压 的傅里叶级数中,将可以消除5×120±l_600±1 次以下的谐波,使uA波形基本上成为正弦波电 压。
3 不能调压的串联多电平逆变器
所谓不能调压的串联多电平逆变器,是指这 种逆变器采用单相全桥式方波逆变单元串联叠加 的。单相全桥式方波逆变单元没有经过SPWM调 制,所以,这种串联多电平逆变器的输出电压不是 多电平SPWM电压,而是纯电多平阶梯波电压,因 此,这种串联多电平逆变器不具备调压功能,要想 调压就必须另外加人PWM调压功能。
可调压的串联多电平SPWM逆变器,是由单 相全桥式SPWM逆变单元串联而成的,它经过了 两次波形改善:一次是单相全桥式逆变单元本身 的SPWM调制、另一次是N个逆变单元的串联叠 加,所以对波形改善的效果较好。而由单相全桥方 波逆变单元串联而成的不能调压的串联多电平逆 变器,由于单相全桥方波逆变单元本身不能通过 SPWM改善波形,而只能依靠串联叠加改善波形, 因而波形改善的效果较差。为了提高对波形的改 善效果,对于单相全桥方波逆变单元串联组成 的纯多电平阶梯波逆变器采用了给定触发角的方 法。给定触发角的方法有两种:一种是通过波形逼 近法来给定.另一种是采用消除特定谐波法来给 定。
3.1 用波形逼近法给定触发角
不能调压的串联多电平逆变器的输出电压阶 梯波波形如图5所示,所谓用波形逼近法来给定 触发角.就是用阶波的面积与正弦波面积相等 法来给定触发角α1,α2,...αN的值。具体作法是使 正弦波外侧与阶梯波构成的小三角形面积.依次 和正弦波内侧与阶梯波构成的小三角形面积相 等。用这种方法确定的阶梯波各阶梯起始点的触 发角值,可以使阶梯波的谐波含量大大减少. 当 N=4时,用上述波形逼近法确定的给定触发角α1~α4的值为α1=7.5。,α2=22. 5。,α3=37. 5。,α4=67. 5。
由上述αa1~α4的值.算出输出电压阶梯波中的 谐波、谐波畸变率和畸变总量如表2所列.包括第99 次谐波以内的谐波.其畸变总量为8.7403%。
3.2 用消除特定谐波法给定触发角
在用消除特定谐波法给定触发角时,假定α1,α2...αN、为对应于各阶梯起点的角,如图6所示, 则基波和各次谐波幅值的表示式为
由式(2)解出各次谐波的幅度如表3所列。
由表3可知,当α1=0.857°,α2=24. 857°,α3=35.143°,α4=60.857°时.N=4的串联叠加 可以消除9次以下的谐波和零序谐波,使输出电 压波形得到了很大的改善。当以钟脉冲来给定阶 梯起点的触发角时,半个阶梯波周期的钟脉冲个 数为
对应第一个钟脉冲,α2对应 第
个钟脉冲,α3对应第
个钟脉冲,α4对应第
个钟脉冲。
在图6中,虚线表示的是用波形逼近法得到的 阶梯波形和给定触发角的值:实线表示的是用消除 特定谐波法得到的阶梯波形和给定触发角的值。
4 串联多电平逆变器的特点
用单相全桥式逆变单元直接串联组成的三相 多电平逆变器,与三相半桥式两电平逆变器相比 具有如下的特点:
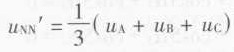
1)负载中性点N的电压可以保持恒定 对 于两电平的三相逆变器,当以直流电源电压的中 点电压E/2为参考电压时,其负载中性点N的电 压是脉动的,脉动的幅度为E/6。对于串联多电平 逆变器而言.其输出电压是多电平阶梯波.假设每 一个单相伞桥逆变单元的直流侧电压为E,则其 输出的相电压uA、uB、uC是多电平阶梯波电压,阶 梯波的电平分别为E,2E,3E,...NE,假没uN=
E.由
可得unn/=0。说明负 载中性点N的电压保持恒定.
2)要保证蓄电池的充放电均衡 由图5可 知,串联多电平逆变器在每一个阶梯波半周期中, 各个单相全桥逆变单元A能性~A4的输出功率由于 输出电压波形宽度的不同而不相等,亦即A1~A4 各蓄电池的输出功率不相等。为了要保证每一个 蓄电池的放电均衡,必须以每一个阶梯波半周期 为一个单位.顺序交替地切换各个单相全桥逆变 单元A1~A4的输出电压波形,如图7所示。这种 串联多电平逆变器本不能调压,但电动车要求调 压,为此可以另外加入PwM调压功能其方法如图 8所示。
——用钟脉冲产生出载波三角波uc,用uc与 直流控制信号u4在比较器中进行比较产生出 EPwM正脉冲信号。
——将原来不需调压的驱动信号和EPwM信 号.起送到如图8(b)所示的门电路,当两个输入 信号同时为正时就可以得到可调压驱动信号.
3)蓄电池在充电和再生制动时的工作 蓄电 池在充电和再生制动时,多电平逆变器工作在整 流状态,每一个单相全桥逆变单元A1~A4,当上桥 臂或下桥臂全部导通时,该逆变单元的蓄电池则 被旁路。假设N个逆变单元串联i个逆变单元被 旁路,则此时的输出电压瞬时值为(N一i)E.通过 旁路方式可以灵活地对蓄电池充电,同时还口可以 控制再生制动的力矩。
4)多电平逆变器的实用控制法 串联多电平 逆变器的实用控制法,还可以采用谐波PwM控 制法(SHPWM)如图9所示,和空间向量控制法。
SHPWM控制法是采用N个幅值上连续分 布,具有相同频率、相同幅值的载波三角波与一个 共同的正弦调制波进行比较,在正弦波大于三角 波的地方产生出驱动脉冲,根据载波三角波的相 位不同又可以分为几种情况.这里不再详述, 由于电动车对电动机的动态响应有较高的要 求.所以采用三相异步电动机作动力的电动车,一 般都适合采用空间向量控制法.此法还可以提高 电池电压的利用率.也使多电平逆变器可以输出 多种SPWM电平,因此在利用电流跟踪控制时.可 以大大降低开关次数,减少输出电流的谐波.提高 跟踪效果。
当采用空间向量控制法时,逆变器的输出向 量可以表示为
式中:uAN,uBN,uCN是A,B,C相输出对于中性点N的电压:
单相全桥式逆变单元的输出状态为
每一相可以输出2N种电压,三相可以组合 出的空间电压向量的个数为8N3。考虑到输出向 量必须维持中性点电压的稳定.在静态座标系中, 可行的空间向量种类的数量为3(2M)(2N-1)+1. 对于N=4的串联叠加.可以选择的空间向量个 数为169个。
由于串联多电平逆变器存在开关冗余状态,即 对于同一个空间向量可以通过多个开关组合来实 现,这是由于多重叠加逆变器的特点决定的。由于 开关的组合不再是唯一的.为r使每一个开关器件 的工作频率相等,在选择空间向量后,还需要进行 开关频率的均衡控制,以选择合适的开关组合。
5 改进式串联多电平逆变器
传统的串联多电平逆变器采用的是具有相同 电压值的独立直流电源,能产生出2N-1个电平; 而改进式串联多电平逆变器所采用的独立直流电 源.具有不同的电压值,大体分为两种:一种是直流 电源电压以2的倍数递增,能产生出2N+1一1(或 2N+1-2)个电平;另一种是直流电源电压以3的倍 数递增,能产生出3N个电平,电平数最多,但电池 的容量与电压不成比例,故不能采用相同的单体电 池.不便于外充电,因此不宜采用。只有电池电压以 2的倍数递增时才适合于电动汽车应用.以N=2, E1=E,E2=2E,串联叠甍加出2N+1-2=23一2=6个 电平的逆变器为例,其波形如图10所示.这种串联 多电平逆变器的优点是:可以获得大于2N-1个电 平,有利于输出电压波形的正弦化:可以不必再进 行各逆变单元输出电压之间的顺序交替切换,使控 制电路简化;各独立直流电源可以采用相同的单元 电池,方便于外充电。
6 结语
串联多电平逆变器.适用于大功率的电动汽 车驱动系统,它可以减少多个蓄电池串联带来的 危险,可以降低开关器件的电压应力和降低电磁 辐射干扰.
这种串联叠加不用叠加变压器或电抗器.降 低了体积、重量和造价。
串联多电平逆变器输出电压的波形好.控制 灵活性好,控制精度高,中性点电压波动小。为维 持各个蓄电池组电量的均衡,在运行时确保了蓄 电池的放电时间一致,通过旁路方式,可以灵活地 对蓄电池充电,还可以控制再生制动的力矩。
一个N=4采用功率场效应管作开关的 10 kw串联多电平逆变器,在原型车上的实验结 果如图11所示.其中图11(a)为20%额定速度时 的波形.图l1(b)为35%额定速度时的波形.说明 串联多电平逆变器应用于电动汽车驱动系统的效 果是好的。