0 引言
近年来,中小功率的开关电源向着单片集成化的方向发展。1997年,美国功率集成公司(Power Integration Inc,简称PI公司)推出三端单片电源TOPSwitch-II系列。该系列产品将MOSFET和控制电路集成在一起,不仅提高了电源效率,而且使电源的体积和重量大为减小。
由于TOP系列单片电源的集成度很高,外围电路十分简单,本文在试验的基础上分析并改进了反馈网络,验证了其对电路性能提高的有效性。
1 TOPSwitch开关电源反馈电路设计
TOPSWitch的外围电路主要分为输入整流滤波电路、钳位保护电路、高频变压器、输出整流滤波电路和反馈电路5部分。其中前4部分电路设汁可以在PI公司的网站上找到专用的设计软件进行计算,电路的参数和器件型号都能满足TOPSwitch开关电源的需要。
至于反馈电路,由于PI公司没有专用的工具,所以必须根据电路的实际情况进行设计。单片开关电源的反馈形式虽然有很多,但可以归结为图1所示的4种基本形式。其中图1(a)为基本反馈电路,电路简单但稳压性能较差,负载调整率只能达到S1=±5%;图1(b)为改进型反馈电路,增加了一只稳压管D5,可以使S1改善到±2%;图1(c)为带稳压管的光耦反馈电路,相当于给TOPSwitch增加一级外部误差放大器,再与内部误差放大器配合使用,可以对输出电压进行调整,S1可到达±1%;图1(d)为带TL431的光耦反馈电路,用三端线性稳压管代替图l(c)中的稳压管D5,从而对输出电压进行精细调整,S1=±O.2%。

设计开关电源时,一般根据实际技术要求选择合适的反馈电路,本文就图l(d)的反馈形式进行分析。并给出较为实用的电路结构,图2是应用TOP224及精密反馈电路构成的反激变流器,交流通用输入(85~265V),多路输出,要求主输出电压纹波在0.5%以内,负载调整率S1=±0.2%。

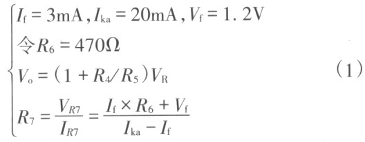
对于图2电路,主要就是要确定R4、R5、R6及R7的值。电路利用输出电压与T1431构成的误差比较器,通过光耦PC817线性关系的电流变化控制TOPSwitch的Ic,从而改变PWM宽度,达到稳定输出电压的目的。从TOPSwicth的流入控制脚C的电流Ir与占空比D成反比关系,如图3所示。

为使PWM线性调节,控制脚电流Ir应在2~6mA之间,而Ic是受光耦二极管电流If控制的,由于光耦PC817是线性光耦,二极管正向电流If在3mA左右时,三极管的集射电流Ice在4mA左右,而且集射电压Vce在很宽的范围内线性变化。因此确定选PC817二极管正向电流If为3mA。
从TL431的技术参数知,Vka在2.5~37V变化时,Ika可以在1~100mA内大范围变化,一般选20mA即可,既可以稳定工作,又能提供一部分死负载。
由以上分析,可以得到一组关系式,有

式中:Vf是PC817二极管压降;
VR是TL43l参考端电压;
Vc是输出电压。
根据以上计算得到:R4=10kΩ、R5=10k、R6=470Ω、R7=150Ω。
使用以上参数构成的反激变流器,由于高频变压器漏感的存在以及PCB的布局不够合理,使得输出电压纹波较大,达到150mV(=3%),所以必须对控制电路进行改进,进一步提高控制环路的增益和带宽,改善电路的瞬态响应,以降低输出纹波。
TOPSwitch的控制函数有两个极点,第一个极点频率为7kHz,它是由内部阻容元件构成的低通滤波器决定的,其截止频率为7kHz,能滤掉开关噪声电压,而对误差电压只产生很小的相移。第二个极点频率为1.7kHz,是由自动重启动电容C8(47μF)和控制端动态阻抗Zc决定的,该极点适用于开关电源在不连续模式且占空比D<50%情况下。
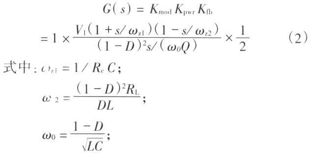
反激变流器的控制框图如图4所示。在设计反馈网络前,假设PC817的电流传输比CTR=100%,而且因为TOPSwitch的控制是电流模式,所以PC817构成的传递环节不影响整个系统的频率响向应,令Kea=1,并且所有设计采样点在输出的小LC滤波环节之前。此时,开环传递函数为V1为


V1折算到低压侧的原边直流电压;
RL为负载电阻;
L为高频变压器次级电感。
代入电路参数得
TOPSwitch的开关频率为100 kHz,为了避免其引起过多的相移,一般取带宽为其频率的l/4一1/5,我们取1/5为20kHz。则此时的相位φ=arctan(20/33)一arctan(20/14)-arctan(20/49)=-46°
如果用单极点补偿[如图5(a)所示],则带宽处的相位裕度为180—90一46=43°,比工程上一般要求的45°偏小,所以采用双极点补偿形式来提升相位裕度。图5(b)具有两个极点和一个零点,把第一个极点设定在原点,第一个零点一般在带宽的1/8左右,这样在带宽处提升相位10°左右,此零点越低,相位提升越明显,但太低了就降低了低频增益,使输出调整率降低,这里取2kHz。第二个极点的选取一般是用来抵消右半平面零点(一般由输出电容的ESR引起)的增益升高,保证增益裕度,使带宽处保持一20db/10decade的形状,这里取极点频率50kHz,如图6所示。

补偿网络通频带增益Ad=0,所以有R3/Rl=l,对应图2中,R8=R4=10kΩ。又有fz1=2kHz,fp2=50kHz,

得到C1=318pF,C2=8nF。对应图2中C9=318pF,C8=8nF。
此时带宽处的相位裕度为180一90+10一46=54°,满足工程上的要求。在低于OdB带宽后,曲线为一40dB/decade,这样增益迅速上升,低频部分增益很高,使电源输出的直流部分误差非常小,并且有很好的负载调整率和电压凋整率。
2 实验结果
按以上分析得到的参数设计了一款反激变流器电路,单片开关电源选用TOP224Y,总功率45W,输出+5V(6A),士15V(1A),图7、图8为实测波形。输出电压纹波为20mV(=0.4%),电压调整率SV<10mV(<0.2%),负载调整率S1=10mV(=0.2%),效率达到80%。

3 结语
本文通过分析反激变流器的传递函数,设计出一种较好的补偿网络,并给出一些主要的参数的计算方法。针对实验电路,可以发现应用新的补偿网络,输出电压纹波得到很大改善,抗干扰性能得到提高,而且电源效率有一定改善。