| 网站首页 | 电源技术 | 电源资料 | 电源论坛 | 电源电路 | 电源人才 | 电源供求 | 留言本站 | 繁體中文 | 
[ ] 文章搜索:
您现在的位置: 电源开发网 >> 电源技术 >> 新手入门 >> 设计研究 >> 正文
数字化控制UPS中电池电压的检测方法
http://www.dykf.com  2009-2-4  电源开发网           ★★★

Abstract:Two isolated measuring methods for voltage of the battery are presented in this paper to satisfy the property of a DSP-controlled UPS, The voltage can be converted into a digital result by a serial ADC firstly and the DSP read the data through SPI with general opto-couples. Or the voltage can be transferred by a linear opto-couple and then converted by an inner ADC in the DSP. The methods are analyzed and valued with experimental results given.

Keyword:Uninterruptible Power Supply, Control, Digital Signal Processor, Measuring

1. 引言

  随着用电设备对电源系统可靠性要求的进一步提高,能够获得持续、稳定的纯净电源的UPS得到了越来越广泛的使用。在线式UPS工作原理图如图1(a)所示,当市电供电正常时,市电一方面经充电器给蓄电池充电,另一方面经整流器变成直流后送至变压器,经逆变器变换成高质量的交流电供给负载;当无市电或市电供电异常时,由蓄电池通过逆变器向负载提供电能,保证负载供电不间断,此时UPS电源将完全依靠储存在蓄电池中的能量来维持其逆变器的正常工作。因此,正确、及时地检测出蓄电池的电压状态就成了UPS系统可靠运行的一个必不可少的组成部分[1,2]。
  数字化控制技术在UPS中的应用日益广泛[3]。在DSP控制的UPS中,为了提高系统可靠性,控制电路和包括蓄电池在内的主功率电路必须是隔离的,如图1(b)所示,因此DSP必须对电池电压进行隔离采样[1]。隔离可以在数字量或模拟量端口实现,结构框图分别如图2(a)和图2(b)所示。



图1 在线式UPS的原理框图 (a)结构框图 (b)电气隔离原理框图


2.电池电压的检测方法

2.1 数字量隔离

  参考图2(a),先将电池电压经摸数转换器(ADC)转换成数字量,经隔离后再送入DSP。这种方案中,被隔离的是只具有高低电平的数字信号,一般的高速光电耦合器即可满足要求。但是由于ADC与DSP相连的每根信号线都需加以隔离,并行ADC虽然可以获得较快的传输速度,但并行输出的特点决定了其隔离电路的复杂性,从系统的简单性考虑,宜选用串行ADC来实现。



  该方案的电路实现原理框图如图3所示,检测回路主要由串行模数转换器ADC, 高速光耦和TMS320F240的同步通信接口SPI口组成,通过A/D转换,模拟输入量电池电压被转化为数字信号以适应DSP的同步通信接口SPI的传输要求。电池电压的采样是用MAXIM公司生产的串行A/D转换器MAX189实现的,MAX189是+5V、低功耗的12位串行ADC,电池电压E经分压后送入MA189的模拟电压输入引脚AIN,在SPI口的同步时钟控制下被转化成串行数据输出,DSP通过读取SPISOMI寄存器即得到采样电压的值。
  图4(a)为MAX189的工作时序,CS为高电平时,输出引脚Dout为高阻状态,CS引脚的下跳沿启动A/D转换。应用中将DSP的同步通信SPI口设置为主工作方式,SPISTE引脚设置为通用I/O口,将SPISTE引脚的信号线经隔离后与MAX189的CS引脚相连,通过软件中改变SPISTE的电平状态来决定A/D转换的启动或停止,从而控制采样的具体时间。A/D转换结束后,Dout从高阻态跳变为高电平,Dout的上升沿表明A/D转换的结束,在此之后即可读取A/D转换的结果。因MAX189是12位的串行数据输出,而TMS320F240的SPI通信口每次至多可以传输8个数据位,故一次采样结果须分两次进行接收。


图4 A/D和DSP的工作时序

(a)MAX189工作时序  (b)SPI口的工作时

  需要注意的是,TMS320F240的SPI通信口提供了四种工作时序[2],如图4(b)所示,实验中应根据MAX189的工作方式对SPI口的时序进行适当选择。

2.2 模拟量隔离

  参考图2(b),该方案是在A/D转换之前进行隔离,即先将电池电压分压隔离后再送入ADC进行转换。因为被隔离的信号是模拟量,隔离前后的信号必须成线性关系,可以选用精度较高的线性光耦实现。此处采用HCNR200线性光耦。
  HCNR200线性光耦合器是由一个红外光LED照射分叉配置的一个隔离反馈二极管和一个输出光二极管组成,如图5(a)。LED的光通量决定流经两个二极管的电流的大小。由于HCNR200内部特殊的制造工艺,在一定的输入电流范围里,它的电流传输比保持不变,输出光二极管产生的电流信号与反馈光二极管产生的电流信号成线性比例关系。由图5(b):
       (1)

      (2)

  式(1)、(2)中
分别为隔离反馈二极管和输出二极管的电流,
为电池电压经分压后的值,
为输出结果,送到TMS320F240的A/D转换成数字量以供CPU的处理。
  根据式(1)、(2),输出电压与输入电压的关系表达式如下:
   (3)

  式(3)中
为电流传输比,HCNR200的K约为0.85—1.25
  图5(b)中Q1,R3,R4,R5,R6构成了LED的驱动回路,因Q1的放大作用,使得在输入电压较小的情况下,LED的电流不致于太小。该驱动回路的加入提高了系统的增益,保证了低输入电压情况下光耦的线性度。

3. 实验结果及其分析

3.1采用数字量隔离时

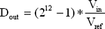
  表1为采用TMS320F240的同步通信接口SPI进行电池电压采样的实验结果,表中AIN为电池电压分压后的模拟值,Do为理论计算值,Ds为实际采样值。表中Do由下列公式算得:
   (4)

  其中
为基准电压,本实验中为5V;12为ADC的位数。
采样结果的精度与实验中ADC的转换精度以及ADC所用的基准的精度有关,在使用中应尽量运用精度较高的基准。

3.2采用模拟量隔离时

  根据图5(b)所示的检测电路进行实验,实验结果表明,输入电压与输出电压呈现很好的比例关系。由式(3)可知,输出与输入的比值大小与电阻
及传输比K有关,但对于不同的芯片,传输比K值有所不同,实验中将电阻
以一个略小于
的电阻
和一个可调电阻
串联组成,使用前预先调节
使其满足以下关系:
     (6)

  则式(3)可转化为:
        (7)

  表2为采用该校正方法后的检测结果,其中
,
为满刻度为
的电位器。AIN为电池电压分压后的值,Vout为光耦隔离后的实验值,Do为DSP采样的理论计算值,Ds为实际采样值。


表1 数字量隔离的实验结果


表2 模拟量隔离的实验结果



4.结论

  比较采用数字量和模拟量隔离的两种蓄电池采样方法,数字隔离方式略优。MAX189的外围器件很少,具有硬件实现较简单的优点,但要占据DSP的SPI通信接口,因此在同步通信接口空闲的情况下是一个很好的选择。
  运用线性光耦检测电池电压的方法不需要占用DSP的通信接口,无须外加模数转换器(可运用DSP内含的10位ADC),但线性光耦的增益需要电位器调节,且必须使用两片运放以及一些外围器件,硬件电路稍复杂些。

参考文献

[1] 向建玲,基于DSP的UPS数字化控制技术研究,南京航空航天大学[硕士学位论文],2003.2
[2] 谢力华,苏彦民,正弦波逆变电源的数字控制技术,电力电子技术,2001年第6期,pp52-55
[3] Liviu Mihalache, DSP control Method of Single Phase Inverters for UPS Applications IEEE APEC, 2002,13.5(CD-ROM)
来源:《电源世界》  作者:李明珠 刘…  点击:  录入:admin
收藏此页】【字体: 】【打印此文】【关闭窗口
※相关链接※
网友评论:(只显示最新10条。评论内容只代表网友观点,与本站立场无关!) 发表评论
专 题 栏 目
推 荐 图 书
热 门 文 章
热 门 下 载
热 门 电 路
论 坛 推 荐
精 彩 广 告

关于本站 - 广告服务 - 联系我们 - 版权申明 - 网站地图 - RSS订阅 - 友情链接 - -
Copyright@2004-2014 ◆电源开发网◆ All Rights Reserved