作为卫星的“心脏”,电源的可靠性要求很高。卫星电源系统中的DC/DC模块主要负责将输出的42V直流电压转换成其他等级的直流电压,以满足不同设备的用电需求。DC/DC模块输入滤波器有两个主要功能:一是阻止DC/DC模块产生的电磁干扰沿电力线传导以影响其他设备;二是阻止电力线上的高频电压传到DC/DC模块的输出端。LC无源滤波器具有上述两种功能。本设计目标是在滤波器的体积和成本之间达到平衡。
无阻尼LC滤波器
图1所示为无阻尼LC无源滤波器。理想情况下,一个二阶滤波器在谐振频率f0后每倍频衰减12dB。其在f0之前没有增益,在谐振频率f0处增益达到峰值。
(1)

图1 无阻尼LC滤波器
二阶滤波器在设计上的一个关键因素是频率f0处的衰减特性。谐振频率处的增益非常大,同时也放大了该频率处的噪声。通过分析滤波器的传递函数可以更好地理解问题的本质。其传递函数为
(2)
传递函数也可用弧度来表示:
(3)
其中,
,以弧度表示的谐振频率;
是阻尼因子。
该传递函数有两个负的极点
和
,阻尼因子ζ表示该角频率处的增益。当ζ<1时,两极点为复数,虚部使增益在谐振频率处达到峰值。

图2 不同阻尼因子时LC滤波器的传递函数
阻尼因子越小,谐振频率处增益越大,达到理想零阻尼时增益为无穷大。然而,元器件的内阻限制了增益达到最大值。在此,阻尼因子就像一个虚拟元件,妨碍增益达到峰值。
在输入滤波器设计中,阻尼因子和系统性能关系很大,阻尼因子会影响反馈控制回路的传递函数,也会在开关电源输出端引起振荡。
Middlebrook附加元素法则指出:如果输入滤波器的输出阻抗曲线远低于变换器的输入阻抗曲线,输入滤波器就不能明显改变变换器的闭环增益。换句话说,保持滤波器的输出阻抗峰值低于变换器的输入阻抗非常重要,因为这样能避免产生振荡(见图3)。

图3 滤波器输出阻抗和开关电源输入阻抗
从设计观点上,根据阻尼因子最小值的1/√2倍(此时,谐振频率处增益衰减3dB),获得最佳的滤波器性能体积比,使控制系统达到良好的稳定性。
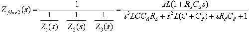
并联阻尼滤波器
在大多数情况下,图1中的无阻尼二阶滤波器不易满足衰减要求,于是考虑选择阻尼滤波器。
图4所示的阻尼滤波器由电阻Rd和电容Cd先串联再与滤波器电容C并联构成。电阻Rd的作用是降低滤波器在谐振频率处的输出阻抗峰值;电容Cd抑制输入电压的直流成分,防止Rd消耗功率。

图4 并联阻尼滤波器
为了不影响LC主滤波器的谐振频率,电容Cd在谐振频率处的阻抗应小于Rd,且比滤波器的电容值要大。
滤波器的输出阻抗可根据三个并联的方框阻抗来计算:
(4)
传递函数为
(5)
此处,Zeq2.3为Z2和Z3并联值。传递函数上有一个零点和三个极点,零点和第一个极点非常接近地位于频率ω≈1/RdCd处,另两个主极点落在谐振频率
处。近似计算中,零点和第一个极点可以忽略不计,则此公式近似表达了一个二阶滤波器(当频率大于ω≈1/RdCd时,(1+RdCds)≈RdCds))。
(6)
并联阻尼滤波器的近似计算公式和无阻尼滤波器的传递函数相同,唯一区别是阻尼因子ζ的计算要加上电阻Rd。
图5和图6分别为并联阻尼滤波器的输出阻抗和传递函数。

图5 并联阻尼滤波器输出阻抗

图6 并联阻尼滤波器传递函数
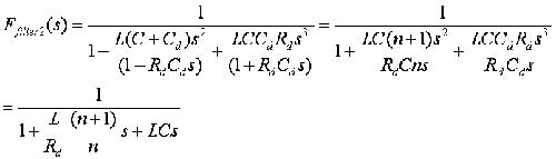
串联阻尼滤波器
阻尼滤波器的另一种形式是电阻Rd和电感Ld串联后再和滤波器电感L并联(见图7),在谐振频率处电阻Rd比Ld阻抗值高。

图7 串联阻尼滤波器
和并联滤波器一样,串联滤波器的输出阻抗和传递函数可由公式(7)、(8)计算。
(7)
(8)
此处,Ld=nL。
从串联阻尼滤波器的传递函数可近似计算出:
(9)
当阻尼因子
时,峰值被最小化。最优阻尼电阻值为: 
。
这里,n=2/15。
串联阻尼滤波器的缺点是高频衰减能力弱化了(见图10)。
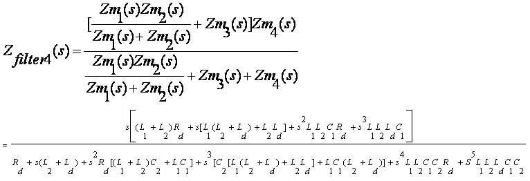
多级滤波器
多级滤波器高频时衰减能力强且体积小、成本低,因为当元件数量增加时,多级滤波器允许使用较低值的电感和电容(见图8)。

图8 多级输入滤波器
根据各方框阻抗,可计算出输出阻抗和传递函数。


图9和图10是二阶阻尼滤波器、串联阻尼滤波器和无阻尼滤波器输出阻抗、传递函数之间的比较。

图9 串联阻尼滤波器和二阶阻尼滤波器输出阻抗

图10 串联阻尼滤波器和二阶阻尼滤波器传递函数
二阶滤波器优化如下:滤波器的输出阻抗峰值衰减80dB,输出阻抗峰值小于2Ω。
开关电源抑制频率低于反馈控制环交点频率的噪声,输入滤波器应能抑制高频信号。输入滤波器谐振频率必须小于反馈控制环带宽的十分之一,才能更好地进行前向滤波。
电容和电感的选择
正确选择电容和电感是影响滤波器性能的重要方面。选择低ESL、低ESR的高频衰减电容器输出纹波低。大多数普通电容器为铝电解电容器。
输出电容应该分成许多不同的小电容且并联在一起,电容的总值不变,这样具有低ESL、低ESR特性。选择的电感要能尽量减少滤波器的寄生电容,输入、输出引线要尽量隔得远一些,最好用单层和叠绕线圈方法制作电感。